潞晨Open-Sora 2.0入选全球AI报告,开源视频模型获国际认可
近日,潞晨科技自主研发的Open-Sora 2.0视频生成模型成功入选《State of AI Report 2025》。作为全球AI领域最具影响力的年度报告之一,该报告聚焦于过去一年在科研、产业和社会层面的重大突破。此次入选,不仅是对潞晨科技在视频生成领域努力的认可,更标志着其成果正获得全球AI社区的广泛关注。
Open-Sora结合了潞晨科技强大的训练框架Colossal-AI,已在开源社区和学术圈中获得了显著认可,累计获得约7万个GitHub星标,并在同领域中排名全球第一,已有超过500篇论文引用。在分布式训练方面,潞晨科技通过优化训练方式和架构,成功减少了97%的checkpoint写盘时间,同时将整体算力成本降低了约90%,推动了技术的商业应用。
此外,Open-Sora的生态应用也备受关注,众多个人开发者和团队基于其进行快速微调,创造出多种风格的生成模型。潞晨科技还与自家产品Video Ocean联手,将视频生成能力融入更多创作者和企业的实际生产中,持续定义下一代AI视频的新标杆。
体验地址:潞晨Open-Sora网页版官网入口

谷歌Nano Banana上线:Lens与AI模式新增图像编辑功能
谷歌近日正式推出了Nano Banana图像编辑功能,现已在其Gemini应用中取得了良好反响。这一强大的图像编辑与生成功能现已引入AI模式和Google Lens中,用户使用起来更加便捷。
Nano Banana功能于10月13日正式上线,目前已在美国和印度的Android和iOS用户中推出,未来还将拓展到更多国家和语言。在Android设备上,用户可通过“Circle to Search”功能直接进入AI模式。用户可访问相册、相机或使用香蕉表情符号来创建图像,并可对已有图像进行编辑。生成的图像将带有Gemini水印,用户可直接下载或分享。
Google Lens中对Nano Banana功能的整合更加显著,用户捕捉图像时可直接使用前置摄像头,并快速切换镜头。按下快门后,图像将被添加到AI模式的提示框中,用户可在此基础上输入新提示进行进一步编辑。谷歌还为AI模式新增了35种语言和超过40个国家和地区,现已支持的国家和地区总数达到了200个。
体验地址:谷歌Nano Banana网页版官网入口 (海外网站需要梯子)

腾讯青云奖学金启动:50万支持AI硕博科研,11月7日截止报名
2025年10月14日,腾讯推出了“青云奖学金”,为AI前沿领域的硕博学子提供科研激励。科研之路充满挑战,腾讯设立此奖学金,旨在为有天赋、有热情的年轻人提供支持,鼓励他们挑战大胆、前沿的科研方向。
首届“青云奖学金”预计评选出15位优秀学子,每人总支持高达50万元,包括20万元现金奖励和价值30万元的云异构算力资源。获奖者还有机会进入腾讯实习或就业,直接与产业实践接轨。腾讯招聘全球负责人罗海波表示,此奖学金旨在支持最具天赋和热情的青年学者,推动人工智能领域的前沿突破。
申请条件方面,要求在中国大陆及港澳台地区院校就读、具有中国国籍的硕士和博士同学,毕业时间在2027年1月及之后,来自计算机科学、人工智能及其交叉领域,具备卓越的研究能力和深厚的学术造诣。报名期为2025年10月到11月,11月07日24点截止,评选流程包括初审和答辩终审。如果你是在读硕博生,深耕相关领域,那就别犹豫,赶紧申请吧!
详情地址:腾讯重磅发布“青云奖学金”:50万现金+算力支持,AI人才培养再升级

微软Copilot升级:连接邮件生成文件,办公效率大提升
微软近日对其Copilot AI助手进行了重要升级,允许用户直接连接Outlook、Gmail等多款个人生产力应用,处理日常工作任务更加高效。
这项连接器功能是可选的,用户可在设置中选择需要连接的服务。通过自然语言提示,Copilot可自动查找邮件内容,如总结同事发送的工作项目时间表,节省用户查找信息的时间和精力。此外,Copilot用户现在可通过自然语言指令创建和导出Word文档、Excel电子表格、PDF文件和PowerPoint演示文稿。用户只需简单输入提示,即可将想法、笔记和数据转换为可分享和可编辑的文档。
目前,这项升级和新连接器功能正逐步向微软Copilot的“内测者”计划成员推送。尽管该功能正在推广中,但并非所有内测者都会立刻获得更新。这一升级的推出,正值微软加大力度扩展其核心AI产品,努力将其与日常使用的生产力应用紧密结合。对于企业用户来说,这些新功能意味着可更高效地管理日常工作流程,减少在信息检索和文档制作上的时间,提升整体办公效率。
详情查看:微软Copilot重磅升级,效率飙升!智能助手连接邮件,文档创建更轻松

抖音SAIL-VL2模型开源:小参数规模,推理能力比肩大模型
抖音SAIL团队与LV-NUS Lab强强联手,推出了SAIL-VL2多模态大模型。这款新模型在保持较小参数规模的同时,在复杂推理任务中表现优异,甚至能与更大型的闭源模型相抗衡。
SAIL-VL2的参数设置分为2B和8B,在106个数据集上实现了性能突破,尤其在MMMU、MathVista等复杂推理基准测试中表现突出。为了确保“小模型也能有强能力”,SAIL-VL2在数据、训练及架构设计上进行了创新。架构设计上引入了稀疏混合专家(MoE),优化性能和计算效率;视觉编码器SAIL-ViT采用渐进式优化,提升视觉-语言对齐能力。
数据层面上,SAIL-VL2构建了高质量的多模态语料库,确保数据的准确性和多样性。同时,团队设计了一套渐进式的训练框架,使模型在不同任务中的表现更加出色。数据显示,SAIL-VL2的8B规模模型在推理能力上已与最新的GPT-4o不相上下。SAIL-VL2的开源代码和模型已在GitHub和Hugging Face上发布,便于研究者和开发者使用与探索。
模型地址: https://huggingface.co/papers/2509.14033

苹果FS-DFM模型发布:长文本生成速度提升128倍,步骤仅需8轮
苹果公司与俄亥俄州立大学研究团队联合发布了FS-DFM(Few-Step Discrete Flow-Matching)模型,这一创新语言模型在长文本生成方面表现出色,写入速度可提高最多128倍。
FS-DFM模型的设计理念与主流语言模型有所不同。以ChatGPT为代表的自回归模型是逐字生成文本,而扩散模型则采用并行策略。FS-DFM在扩散模型的基础上进行了进一步简化,目标是用更少的步骤实现高质量文本的生成。为了实现这一突破,苹果研究团队提出了一套精妙的三步法,包括模型训练、引入“教师”模型进行引导以及优化迭代机制。
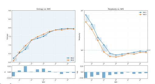
在性能评估中,FS-DFM对比了参数量为70亿的Dream模型和80亿的LLaDA模型。测试结果显示,即使FS-DFM的参数量仅为1.7亿至17亿,其在文本生成的困惑度和熵上表现出更低的困惑度和更稳定的熵。这一成绩证明了FS-DFM模型在AI长文本写作领域的潜力。FS-DFM模型的推出,无疑为长文本生成领域带来了新的突破。
项目地址: https://machinelearning.apple.com/research/fs-dfm

蚂蚁Ring-1T模型开源:万亿参数能解奥数题,多项测试拿第一
10月14日凌晨,蚂蚁集团正式推出了万亿参数思考模型Ring-1T,并全面开源模型权重、训练配方。Ring-1T在预览版基础上,持续扩展大规模可验证奖励强化学习(RLVR)训练,进一步激发万亿基座的自然语言推理能力。
为了持续激发Ring-1T的数学等复杂推理能力,蚂蚁百灵团队挑战了难度更高的IMO2025赛题。实验结果显示,Ring-1T仅用一次解出了多道赛题,相当于IMO银牌水平,成为首个能拿IMO国际奥数奖的开源系统。在“人类偏好对齐”测试中,Ring-1T以高成功率居于开源模型榜首。在医疗问答测评中,Ring-1T也以最高分取得开源领域最佳。
万亿参数思考模型训练最大难题是训推精度差异。在Ring-1T模型中,蚂蚁采用了自研的“棒冰”算法来应对这项行业难题,确保长序列、长周期训练不崩。此外,蚂蚁还自研了高性能强化学习系统ASystem,针对万亿参数模型的显存管理和训推权重交换问题做了精细优化。目前,用户可通过HuggingFace、魔搭社区下载模型,并通过蚂蚁百宝箱等平台在线体验。蚂蚁百灵大模型已形成从160亿总参数到1万亿总参数的大语言模型产品矩阵。
详情查看: https://www.aitop100.cn/infomation/details/30136.html

想了解AITOP100平台其它版块的内容,请点击下方超链接查看
AI创作大赛 | AI活动 | AI工具集 | AI资讯专区
AITOP100平台官方交流社群二维码:









